|
Гіпермаркет Знань>>Фізика і астрономія>>Фізика 11 клас>> Фізика: Поділ ядер урану. Ядерний реактор. Термоядерні реакції.Проблеми розвитку ядерної енергетики в Україні. Екологічні наслідки
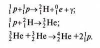
У природних умовах термоядерні реакції синтезу відбуваються в надрах зірок і є основним джерелом їхньої енергії. Для Сонця основною реакцією є перетворення чотирьох протонів на ядро атома Гелію, що супроводжується виділенням енергії понад 26 МеВ за один цикл: Перша термоядерна реакція була здійснена в 1932 році на швидких протонах Ядерну реакцію поділу атомних ядер уперше спостерігали у 1939 р. німецькі вчені О. Ган і Ф. Штрасман. Вони встановили, що під час бомбардування ядер атомів Урану нейтронами вони діляться на дві приблизно однакові частинки (мал. 8.5). Внаслідок кожного такого поділу вивільняється 2—3 нейтрони і близько 200 МеВ енергії. Ф. Жоліо-Кюрі висловив думку, що під впливом потоку вивільнених нейтронів ядерна реакція поділу ядер атомів Урану може розвиватися як ланцюгова. Щоб ланцюгова реакція розвивалася, потрібно підтримувати незмінним потік нейтронів і створити умови для їх проникнення в ядра атомів Урану. З цією метою треба достатню масу Урану вміщувати в обмеженому просторі, створювати так звані критичні умови. Тоді нейтрони потраплятимуть в ядра, викликаючи подальший їх поділ. Мінімальну масу, за якої ланцюгова реакція відбувається самочинно, називають критичною. Здійснення ланцюгової реакції поділу ядер атомів Урану — досить складний процес. Адже повільні нейтрони, що вивільняються в процесі ядерної реакції, можуть викликати поділ лише ядер 23592U; для поділу ядер 23892U потрібні швидкі нейтрони з енергією понад 1 МеВ. Оскільки природний Уран складається з двох нуклонів — 99,3 % Урану-238 і лише 0,7 % Урану-235, то для підтримання ланцюгової ядерної реакції необхідно задовольнити принаймні дві умови: досягти критичної маси і забезпечити достатнє число вивільнених нейтронів для підтримання реакції, яке б не зменшувалося з часом. Трансуранові елементи — це хімічні елементи, розміщені в таблиці Менделєєва за Ураном (Z > 92) Повільні нейтрони не викликають поділу ядра 23892U. Проте їх захоплення цим нуклідом веде до цікавих наслідків — утворення трансуранових елементів. Спочатку виникає короткоживучий радіоактивний нуклід 23992U, період піврозпаду якого Т = 23 хв (мал. 8.6), який внаслідок бета-розпаду перетворюється на новий елемент — Нептуній: У свою чергу, нестійкий нуклід нептунію перетворюється на відносно стабільний Плутоній Т = 24 000 років: Ядерну реакцію одержання Плутонію нині широко використовують у сучасних ядерних реакторах-розмножувачах. Людство зробило істотний крок уперед, освоївши ядерну енергію. У 1942 р. під керівництвом Е. Фермі в США було збудовано перший ядерний реактор, в якому ланцюгова реакція поділу ядер атомів Урану стала керованою. Це дало поштовх бурхливому розвитку атомної (ядерної) енергетики. Перший в Європі ядерний реактор було збудовано в 1946 році під керівництвом І. В. Курчатова в Обнінську (Росія) Ядерний реактор складається з: активної зони, де відбувається ядерна реакція, поглиначів нейтронів, захисного кожуха, парогенератора, турбіни та електричного генератора (мал. 8.7). Принцип його дії полягає у використанні вивільненої внаслідок ядерної реакції енергії для здобуття електричної напруги. Щоб ланцюгова реакція була керованою, необхідно регулювати число нейтронів в активній зоні. З цією метою до неї вводять регулювальні стрижні з матеріалу, який добре вбирає нейтрони (Кадмій, Бор). Зміною глибини їх введення регулюють потік нейтронів, а отже, керують перебігом ланцюгової реакції. Енергія, що виділяється в результаті поділу ядер атомів Урану, за допомогою теплоносія передається парогенератору. Вироблена ним водяна пара спрямовується на лопатки парової турбіни, сполученої з генератором, який виробляє електроенергію. Так після кількох перетворень енергія, що вивільняється внаслідок поділу атомних ядер, стає електричною. Електромережами вона потрапляє до споживачів. Потужність ядерного реактора в 1 МВт відповідає ланцюговій реакції, за якої відбувається 3-Ю16 актів поділу ядер Урану за 1 с Ядерні реактори є основою атомних електростанцій (АЕС). Нині у світі налічується понад 1000 ядерних енергетичних установок. Атомна енергетика вважається економічно найвигіднішою і високотехнологічною. Вона використовує останні досягнення науки, сучасні автоматизовані системи керування технологічним процесом на основі ЕОМ, потребує високої кваліфікації працівників.
Є.В. Коршак, О.І. Ляшенко, В.Ф. Савченко, Фізика, 11 клас
Зміст уроку
Если вы хотите увидеть другие корректировки и пожелания к урокам, смотрите здесь - Образовательный форум. |
Авторські права | Privacy Policy |FAQ | Партнери | Контакти | Кейс-уроки
© Автор системы образования 7W и Гипермаркета Знаний - Владимир Спиваковский
При использовании материалов ресурса
ссылка на edufuture.biz обязательна (для интернет ресурсов -
гиперссылка).
edufuture.biz 2008-© Все права защищены.
Сайт edufuture.biz является порталом, в котором не предусмотрены темы политики, наркомании, алкоголизма, курения и других "взрослых" тем.
Ждем Ваши замечания и предложения на email:
По вопросам рекламы и спонсорства пишите на email:












