KNOWLEDGE HYPERMARKET


Принцип відносності Ейнштейна. Швидкість світла у вакуумі як гранична швидкість. Залежність маси від швидкості. Релятивістська динаміка

Гіпермаркет Знань>>Фізика і астрономія>>Фізика 11 клас>> Фізика: Принцип відносності Ейнштейна. Швидкість світла у вакуумі як гранична швидкість. Залежність маси від швидкості. Релятивістська динаміка


ПРИНЦИП ВІДНОСНОСТІ ЕЙНШТЕЙНА. ШВИДКІСТЬ СВІТЛА У ВАКУУМІ ЯК ГРАНИЧНА ШВИДКІСТЬ. ЗАЛЕЖНІСТЬ МАСИ ВІД ШВИДКОСТІ. РЕЛЯТИВІСТСЬКА ДИНАМІКА


ПРИНЦИП ВІДНОСНОСТІ ЕЙНШТЕЙНА. ОДНОЧАСНІСТЬ ПОДІЙ

Основою уявлень класичної фізики про простір і час було тлумачення їх як самостійних сутностей, які існують відокремлено одне від іншого. Тобто час плине сам по собі, незалежно від особливостей простору, в якому відбуваються фізичні явища і процеси; вибір початкового моменту та інтервалів часу є умовним, незалежним від подій, що передували їх перебігу. Це означає, що для всіх спостерігачів інтервали часу між одними й тими самими двома подіями однакові. Як наслідок, стверджувалося, що дві події, одночасні для одного спостерігача, неминуче будуть одночасними і для будь-якого іншого.

Простір уявляли «вмістилищем» усього, що існує довкола нас; за своїми властивостями він однорідний (у будь-якій точці його властивості однакові) та ізотропний (однаковий в усіх напрямках). На підставі такого розуміння простору і часу Г. Галілей сформулював принцип відносності, згодом покладений І. Ньютоном в основу класичної механіки.

Принцип відносності Галілея: жодними дослідами в інерціальній системі відліку не можна встановити, в якому стані вона перебуває — рівномірного прямолінійного руху чи спокою

Перший закон Ньютона: будь-яке тіло зберігає стан спокою або рівномірного прямолінійного руху доти, доки його не змушують змінити цей стан прикладені до тіла сили

Класичні уявлення про простір і час передбачали існування абсолютного, нерухомого простору й абсолютного, незалежного від нього часу. Таке їх тлумачення давало змогу знайти зручну систему відліку, відносно якої простіше було описати явища, що  відбуваються в безмежному однорідному просторі і рівномірному плині часу. Водночас принцип відносності Галілея стверджував, що закони механіки однакові в усіх системах відліку, що рухаються рівномірно і прямолінійно. Отже, класична механіка спроможна була пояснити широке коло механічних явищ, що відбуваються довкола нас. Це рух тіл з незначними швидкостями порівняно зі швидкістю світла, який спостерігає людина у повсякденному житті, космічний рух планет, розрахунок траєкторій штучних супутників Землі тощо.

Однак, коли на початку XX ст. фізики поринули в пояснення природи електромагнітного випромінювання та закономірностей мікросвіту, де швидкість перебігу подій сумірна зі швидкістю світла, класична фізика виявилася безпорадною. Як з'ясувалося, перегляду потребували самі її основи — уявлення про простір і час.

У 1905 р. Альберт Ейнштейн поширив принцип відносності Галілея на всі фізичні явища і припустив, що швидкість поширення світла є однаковою в усіх системах відліку і не залежить від руху тіла, що його випромінює; вона є граничною у передачі будь-якої взаємодії чи поширенні імпульсу. Ці два постулати, названі Ейнштейном принципами спеціальної теорії відносності (скорочено — СТВ), змусили переглянути спрощені уявлення про простір і час, якими керувалася класична фізика, і дати узагальнене їх тлумачення.

30202.jpg

Принципи спеціальної теорії відносності:
1) в усіх інерціальних системах відліку, незалежно від стану їхнього руху, фізичні явища відбуваються за однаковими законами;
2) швидкість поширення світла є сталою для всіх інерціальних систем відліку і не залежить від їхнього руху

Континуум (від лат. continuum) — безперервний, нерозривний, суцільний

Насамперед СТВ об'єднала їх в єдиний континуум — простірчас. За таких умов кожне явище, наприклад, розглядається в чотиривимірній системі координат (х, у, z, t), тобто кожній події, кожному явищу відповідає не лише просторова визначеність їх координат, а й пов'язана з ними часова характеристика їх перебігу. Це не механічне об'єднання простору і часу, коли до системи координат долучається годинник, а спільна, поєднана інтерпретація явищ у просторово-часовому вимірі. Таке розуміння простору і часу (вірніше простору—часу) привело до зміни сутнісних положень фізики, зокрема одночасності подій, сповільнення часу і скорочення довжини.

Теорія відносності спростувала твердження класичної фізики про одночасність подій для будь-якого спостерігача. Розглянемо поширення світлового променя одночасно в нерухомій і рухомій системах відліку.

Нерухомий спостерігач фіксує надходження імпульсів від обох джерел світла одночасно

Нехай у відносно нерухомій системі відліку  перебуває  спостерігач  (мал. 5.1).

30203.jpg

На однаковій відстані l від нього справа і зліва знаходяться сполучені з годинниками джерела світла А і В, які періодично випромінюють світловий імпульс. У певний момент часу, зафіксований лівим годинником, джерело світла А посилає імпульс у напрямку спостерігача. У цей самий час такий же імпульс випромінює і джерело світла В.

Оскільки відстані від спостерігача до джерел світла однакові, то й час поширення світла також буде однаковим, адже 3-65.jpg a c=const. Якщо спостерігач зафіксує надходження імпульсів від обох джерел світла одночасно, то за такої умови можна дійти висновку, що в точках А і В події (у цьому разі випромінювання світла) відбулися одночасно.

Спостерігач, що рухається в напрямі до одного із джерел світла і віддаляється від іншого, фіксуватиме надходження імпульсів не одночасно

Нехай тепер спостерігач наближається до одного із джерел світла (мал. 5.2), наприклад до правого.

30204.jpg

У цьому разі він спостерігатиме іншу картину. Імпульс від джерела світла В надійде до нього раніше, ніж від джерела А, оскільки за час поширення імпульсу спостерігач наблизиться до джерела світла В і віддалиться  від джерела A: 3-66.jpg

Звідси: tA > tB, оскільки lА > ІB, а швидкість світла с = const. Тому для рухомого спостерігача час поширення світла від джерел А і В буде різним, і для рухомої системи відліку момент випромінювання світла не буде одночасним.

Отже, дві події, що відбуваються в різних точках простору і є одночасними в одній системі відліку, не будуть одночасними в іншій.

Фізичні явища або події, що відбуваються одночасно в одній системі відліку, будуть неодночасними в іншій системі відліку

Цей парадоксальний для класичної фізики висновок, зроблений А. Ейнштейном на початку XX ст., змусив переглянути усталені уявлення про простір і час, які протягом тривалого часу успішно впорядковували повсякденний досвід людини.


ШВИДКІСТЬ СВІТЛА. ПРОСТОРОВІ ТА ЧАСОВІ ВЛАСТИВОСТІ ФІЗИЧНОГО СВІТУ

Уперше швидкість світла виміряв у 1676 р. датський астроном О. К. Ремер, спостерігаючи різницю в часі між затемненнями супутників Юпітера. Пізніше її визначали багато інших учених — англійський астроном Дж. Брадлей (1728 р.), французькі фізики А. І. Л. Фізо (1849 р.) і Ж. Б. Л. Фуко (1862 p.), англійський фізик К. Фрум (1958 р.) та інші. Проте лише американський вчений А. Майкельсон наприкінці XIX ст. встановив незалежність швидкості світла від руху тіл, що його випромінюють. Отримане ним у 1926 році значення 2,99796 • 108 мс тривалий час було найточнішим і входило до міжнародних таблиць фундаментальних констант (сучасні дані швидкості світла у вакуумі засвідчують, що с = 2,99792458 • 108 мс).

Перший свій дослід щодо вивчення впливу руху Землі на швидкість світла А. Майкельсон провів у 1881 р. Далі він увесь час удосконалював свою дослідну установку (інтерферометр) і продовжував уточнювати значення швидкості світла. У 1885—1887 pp. він разом із Е. У. Морлі підтвердив, що швидкість світла є сталою величиною в усіх інерціальних системах відліку незалежно від стану їхнього руху

Існування граничного значення швидкості світла суперечить класичному закону додавання швидкостей, згідно з яким швидкість світла в системі відліку, що рухається вздовж напрямку поширення світла, дорівнює c + v і не обмежується жодним граничним значенням. Водночас сталість швидкості світла, постульована СТВ, була доведена численними найточнішими фізичними експериментами. Отже, в протиріччя увійшли класичні закони механіки і принципи СТВ, підтверджені дослідними фактами. Це змусило вчених переглянути основи класичної теорії, зокрема уявлення про простір і час.

Найдивовижнішим був висновок СТВ, що довжина в рухомих системах відліку скорочується, а час плине повільніше. Ці твердження здаються незбагненними з погляду нашого чуттєвого досвіду сприймання фізичного світу в просторі і часі. Розглянемо це парадоксальне твердження СТВ неупереджено, грунтуючись на експериментальних даних.

За означенням, швидкість дорівнює відношенню переміщення до часу. Численні фундаментальні досліди з вимірювання швидкості світла стверджують, що вона в усіх інерціальних системах, незалежно від їхнього руху, є сталою. Отже, щоб закони фізики були однакові в усіх інерціальних системах відліку (1-й принцип СТВ), у формулі швидкості, щоб вона залишалася такою самою, мусять змінюватися інші величини, тобто довжина і час. Доведемо це.

Людина досягла значних успіхів у поясненні багатьох явищ, вважаючи, що в рухомій і нерухомій системах відліку лінійка зберігає свою довжину, а годинники відлічують час однаково. Проте, як з'ясувалося, ці уявлення не завжди відповідають дослідним фактам

У рухомій і нерухомій системах відліку час плине неоднаково і довжина тіл відрізняється

Нехай у певний момент часу тіло випромінює світловий імпульс (мал. 5.3).

30206.jpg

У нерухомій системі відліку xyz за час t імпульс потрапить в точку А, яка має координату х = ct. У рухомій системі координат x'y'z координата імпульсу визначатиметься співвідношенням х' =с't'. Оскільки с = с' (2-й принцип СТВ), 3-67.jpg

Отже, в різних системах відліку час плине неоднаково. Аналогічні міркування доводять, що й довжина тіл залежить від системи відліку.

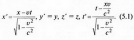
А. Ейнштейн встановив, що в разі переходу від однієї системи відліку до іншої перетворення координат збігаються з формулами перетворень Лоренца:

3-68-2.jpg

Узявши до уваги, що довжина визначається різницею координат: / = х2 - x1 а l' = х'21', з урахуванням формули (5.1) одержимо:

3-69.jpg

Це означає, що l ' <І, тобто довжина в рухомій системі відліку менша за довжину в системі, відносно  якої  та  рухається, адже множник 3-70.jpg завжди менший за 1.

Так само СТВ встановила, що тривалість подій у різних системах відліку буде неоднаковою. Це зумовлено неодночасністю подій, які відбуваються в різних системах відліку (див § 54). Розглянемо цей висновок СТВ докладніше.

Перетворення Лоренца задовольняють умови принципів СТВ

У рухомій системі відліку довжина тіла завжди менша за довжину цього ж тіла в нерухомій системі відліку

Нехай у нерухомій системі відліку певна подія триває протягом часу Δt = t2 -t1. Тоді в рухомій системі відліку її тривалість визначатиметься інтервалом часу Δt' = t'2 -t'1. З формули перетворень Лоренца (5.1) після виконання певних математичних операцій одержимо:

3-71.jpg

Співвідношення (5.3) вказує на те, що в різних системах відліку тривалість події різна: в рухомій системі вона завжди більша за тривалість цієї події, визначену відносно нерухомої системи (Δt'>Δt). Тобто тривалість події буде найкоротшою в тій системі, відносно якої точка, де відбулася ця подія, є нерухомою.

Це твердження СТВ веде до висновку, що для одного й того самого спостерігача в різних системах відліку час плине неоднаково: годинник сповільнює свій хід у рухомих системах відліку.

Якщо проаналізувати формули (5.2) і (5.3), то стає очевидним, що за відносно малих швидкостей (v « с) підкореневий вираз прямує, до 1 і формули  СТВ  збігаються з  виразами класичної фізики. Скорочення довжини, уповільнення плину часу та інші наслідки  просторово-часових властивостей фізичних явищ спостерігаються в разі наближення швидкості тіл до швидкості світла.

3-72-1.jpg

СТВ інколи називають релятивістською фізикою, оскільки вона розглядає класичні закони руху тіл зі швидкостями, близькими до швидкості світла

Отже, завдяки глибшому тлумаченню  властивостей простору і часу, яке відповає фундаментальним дослідним фактам, сучасна фізика отримала досконаліший інструмент пізнання природи,  в якому класична теорія присутня як окрема система поглядів і теоретичних узагальнень за певних умов і обмежень (закономірності макросвіту, незначні швидкості руху тіл тощо).

ЗАПИТАННЯ
1. Які ознаки простору і часу покладено в основу юіасичної фізики?
2. Чим відрізняється принцип відносності Галілея від принципу відносності Ейнштейна?
3. Сформулюйте принципи, покладені в основу спеціальної теорії відносності.
4. Який висновок про одночасність подій зробив А. Ейнштейн?
5. Чи зміниться висновок СТВ про одночасність подій, якщо спостерігач рухатиметься у протилежний бік?
6. Назвіть імена вчених, які вимірювали швидкість світла. Хто з них зробив це першим?
7. У чому полягає особливість дослідів А. Майкельсона?
8. Які твердження СТВ увійшли в протиріччя з уявленнями класичної фізики про простір і час?
9. У чому суть висновку СТВ щодо довжини і тривалості подій у різних системах відліку?
10. Чому СТВ називають ще й релятивістською фізикою?

Є.В. Коршак, О.І. Ляшенко, В.Ф. Савченко, Фізика, 11 клас
Вислано читачами з інтернет-сайтів 


Матеріали з фізики, планування з фізики, завдання та відповіді по класам, плани конспектів уроків з фізики для 11 класу


Зміст уроку
1236084776 kr.jpg конспект уроку і опорний каркас                      
1236084776 kr.jpg презентація уроку 
1236084776 kr.jpg акселеративні методи та інтерактивні технології
1236084776 kr.jpg закриті вправи (тільки для використання вчителями)
1236084776 kr.jpg оцінювання 

Практика
1236084776 kr.jpg задачі та вправи,самоперевірка 
1236084776 kr.jpg практикуми, лабораторні, кейси
1236084776 kr.jpg рівень складності задач: звичайний, високий, олімпійський
1236084776 kr.jpg домашнє завдання 

Ілюстрації
1236084776 kr.jpg ілюстрації: відеокліпи, аудіо, фотографії, графіки, таблиці, комікси, мультимедіа
1236084776 kr.jpg реферати
1236084776 kr.jpg фішки для допитливих
1236084776 kr.jpg шпаргалки
1236084776 kr.jpg гумор, притчі, приколи, приказки, кросворди, цитати

Доповнення
1236084776 kr.jpg зовнішнє незалежне тестування (ЗНТ)
1236084776 kr.jpg підручники основні і допоміжні 
1236084776 kr.jpg тематичні свята, девізи 
1236084776 kr.jpg статті 
1236084776 kr.jpg національні особливості
1236084776 kr.jpg словник термінів                          
1236084776 kr.jpg інше 

Тільки для вчителів
1236084776 kr.jpg ідеальні уроки 
1236084776 kr.jpg календарний план на рік 
1236084776 kr.jpg методичні рекомендації 
1236084776 kr.jpg програми
1236084776 kr.jpg обговорення


Если у вас есть исправления или предложения к данному уроку, напишите нам.

Если вы хотите увидеть другие корректировки и пожелания к урокам, смотрите здесь - Образовательный форум.