|
Гипермаркет знаний>>Математика>>Математика 7 класс>>Математика: Основные результаты
ОСНОВНЫЕ РЕЗУЛЬТАТЫ
Здесь собраны основные определения, свойства, теоремы, формулы, правила, которые мы с вами изучали в § 4-8. Все это записано на сухом математическом языке без всяких комментариев, поскольку комментарии, обоснования были приведены ранее.

Знание этих формул — ключ к успеху в работе с любыми алгебраическими выражениями. К этой работе мы приступаем постепенно, начиная со следующей главы. В заключение — одно предостережение. Мы знаем, что
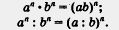
| если основания одинаковы, то:
| если показатели одинаковы то:
|
|
|
Если же умножение и деление выполняется над степенями с различными основаниями и разными показателями, то ничего сделать нельзя. Так, можно вычислить только «в лоб»: сначала вычислить , затем и, наконец, выполнить умножение. Будьте внимательны!
Школьная библиотека онлайн, учебники и книги по всему предметам, Математика 7 класс скачать
Содержание урока
конспект урока
опорный каркас
презентация урока
акселеративные методы
интерактивные технологии
Практика
задачи и упражнения
самопроверка
практикумы, тренинги, кейсы, квесты
домашние задания
дискуссионные вопросы
риторические вопросы от учеников
Иллюстрации
аудио-, видеоклипы и мультимедиа
фотографии, картинки
графики, таблицы, схемы
юмор, анекдоты, приколы, комиксы
притчи, поговорки, кроссворды, цитаты
Дополнения
рефераты
статьи
фишки для любознательных
шпаргалки
учебники основные и дополнительные
словарь терминов
прочие
Совершенствование учебников и уроков
исправление ошибок в учебнике
обновление фрагмента в учебнике
элементы новаторства на уроке
замена устаревших знаний новыми
Только для учителей
идеальные уроки
календарный план на год
методические рекомендации
программы
обсуждения
Интегрированные уроки
Если у вас есть исправления или предложения к данному уроку, напишите нам.
Если вы хотите увидеть другие корректировки и пожелания к урокам, смотрите здесь - Образовательный форум.
|