|
Гипермаркет знаний>>Информатика>>Информатика 8 класс>>Информатика: Тексты в компьютерной памяти
ТЕКСТЫ В КОМПЬЮТЕРНОЙ ПАМЯТИ
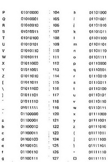
ГЛАВА 3 ТЕКСТОВАЯ ИНФОРМАЦИЯ И КОМПЬЮТЕР Здесь вы узнаете: Основные темы параграфа: • преимущества компьютерного документа по сравнению с бумажным; Преимущества компьютерного документа по сравнению с бумажным А теперь от обсуждения вопроса о том, что представляет собой компьютер, перейдем к ответу на вопрос, что умеет делать компьютер. Начиная с этой главы, мы будем знакомиться с применением ЭВМ. Первая область применения, которую мы рассмотрим, — работа с текстами. При ручной записи часто неприятную проблему составляет необходимость исправлять ошибки или вносить какие-то изменения в текст. При этом приходится зачеркивать, стирать, заклеивать, что портит вид текста. Необходимость переписывать текст ведет к потере времени и лишнему расходу бумаги. Имея компьютер, можно создавать тексты, не тратя на это лишнее время и бумагу. Носителем текста становится память ЭВМ. Конечно, для длительного его сохранения это должна быть внешняя память — магнитные или оптические диски. Текст на внешних носителях сохраняется в виде файла. Есть ряд преимуществ сохранения текстов в файловой форме на компьютерных носителях по сравнению с бумагой. Во-первых, это компактное размещение. Например, текст толстой книги в 500 страниц помещается на маленькую дискету диаметром 9 см. А если использовать специальные методы сжатия, то размер текста, помещающегося на дискете, можно увеличить в несколько раз. Во-вторых, если данный текст становится ненужным, то дискету, как бумагу, не надо выбрасывать или сдавать в макулатуру. С нее с помощью компьютера легко стереть этот текст и на его место записать новый. В-третьих, с помощью компьютера легко скопировать файлы в любом количестве на другие носители. В-четвертых, файл с текстом можно быстро переслать другому человеку по электронной почте. Для этого ваш компьютер и компьютер адресата должны иметь связь через компьютерную сеть. Главное неудобство хранения текстов в файлах состоит в том, что прочитать их можно только с помощью компьютера. Человек может просмотреть текст на экране дисплея или напечатать на бумаге, используя принтер. Уже сейчас имеются некоторые издания, которые не печатаются на бумаге, а хранятся и распространяются в форме файлов. Когда компьютеры станут такими же обычными предметами в каждом доме, как сейчас радио и телевизор, то безбумажных изданий станет еще больше. Представьте себе, что вся ваша личная библиотека разместится в коробке с дисками. Причем по объему информации она будет не меньше, чем сотни книг, собранных родителями. А экономя бумагу, мы сохраняем леса на нашей планете. Как представляются тексты в памяти компьютера А теперь «заглянем» в память компьютера и разберемся, как же представлена в нем текстовая информация. Текстовая информация состоит из символов: букв, цифр, знаков препинания, скобок и других. Мы уже говорили, что множество всех символов, с помощью которых записывается текст, называется алфавитом, а число символов в алфавите — его мощностью. Для представления текстовой информации в компьютере используется алфавит мощностью 256 символов. Мы знаем, что один символ такого алфавита несет 8 битов информации: 28 = 256. 8 битов = 1 байт, следовательно: Двоичный код каждого символа в компьютерном тексте занимает 1 байт памяти. Теперь возникает вопрос, какой именно восьмиразрядный двоичный код поставить в соответствие каждому символу. Понятно, что это дело условное, можно придумать множество способов кодирования. Все символы компьютерного алфавита пронумерованы от 0 до 255. Каждому номеру соответствует восьмиразрядный двоичный код от 00000000 до 11111111. Этот код — просто порядковый номер символа в двоичной системе счисления. Таблица, в которой всем символам компьютерного алфавита поставлены в соответствие порядковые номера, называется таблицей кодировки. Для разных типов ЭВМ используются различные таблицы кодировки. С распространением персональных компьютеров типа IВМ РС международным стандартом стала таблица кодировки под названием АSCII (American Standart Code for Information Interchange — американский стандартный код для информационного обмена). Точнее говоря, стандартной в этой таблице является только первая половина, т. е. символы с номерами от нуля (двоичный код 00000000) до 127 (01111111). Сюда входят буквы латинского алфавита, цифры, знаки препинания, скобки и некоторые другие символы. Остальные 128 кодов, начиная с 10000000 и кончая 11111111, используются в разных вариантах. В русских национальных кодировках в этой части таблицы размещаются символы русского алфавита. В табл. 3.1 приведена стандартная часть кода АSCII (коды от 0 до 31 имеют особое назначение, не отражаются какими-либо знаками и в данную таблицу не включены). Здесь приведены десятичные номера символов, символы, двоичные коды. Обратите внимание на то, что в этой таблице латинские буквы (прописные и строчные) располагаются в алфавитном порядке. Расположение цифр также упорядочено по возрастанию значений. Это правило соблюдается и в других таблицах кодировки и называется принципом последовательного кодирования алфавитов. Благодаря этому понятие «алфавитный порядок» сохраняется и в машинном представлении символьной информации. Для русского алфавита принцип последовательного кодирования соблюдается не всегда. Запишем, например, внутреннее представление слова «file». В памяти компьютера оно займет 4 байта со следующим содержанием: 01100110 01101001 01101100 01100101. А теперь попробуйте решить обратную задачу. Какое слово записано следующим двоичным кодом: 01100100 01101001 01110011 01101011? В табл. 3.2 приведен один из вариантов второй половины кодовой таблицы АSСII, который называется альтернативной кодировкой. Видно, что в ней для букв русского алфавита соблюдается принцип последовательного кодирования. Тексты вводятся в память компьютера с помощью клавиатуры. На клавишах написаны привычные нам буквы, цифры, знаки препинания и другие символы. В оперативную память они попадают в форме двоичного кода. Из памяти компьютера текст может быть выведен на экран или на печать в символьной форме. Но для долговременного хранения его следует записать на внешний носитель в виде файла. Что такое гипертекст Наиболее существенное отличие компьютерного текста от бумажного вы почувствуете, если встретитесь с текстом, информация в котором организована по принципу гипертекста. Гипертекст — это текст, организованный так, что его можно просматривать в последовательности смысловых связей между его отдельными фрагментами. Такие связи называются гиперсвязями (гиперссылками). Чаще всего по принципу гипертекста организованы компьютерные справочники, энциклопедии, учебники. Такую «книгу» можно читать не только в обычном порядке, «листая страницы» на экране, но и перемещаясь по смысловым связям в произвольном порядке. Например, при изучении на уроке физики темы «Второй закон Ньютона» с помощью компьютерного учебника ученик прочитал определение закона «Сила равна произведению массы на ускорение». Ему захотелось вспомнить определение массы. Указав в тексте на слово «масса» (связанные понятия обычно выделяются цветом или подчеркиванием, а указывать на них удобно с помощью мыши), он быстро перейдет к разделу учебника, где рассказывается о массе тел. Прочитав определение «Масса — мера инертности тела», ученик может пожелать уточнить, что такое инертность. По гиперссылке он быстро выйдет на нужный раздел. После такой экскурсии вглубь материала ученик может вернуться в исходную точку, щелкнув мышью по кнопке «Назад», так как система запоминает весь маршрут продвижения по гиперссылкам. Коротко о главном С помощью компьютера можно создавать текстовые документы и хранить их на носителях внешней памяти в виде файлов. Преимущества файлового хранения текстов: возможность редактирования, быстрого копирования на другие носители; возможность передачи текста по линиям компьютерной связи. Каждый символ текста кодируется восьмиразрядным двоичным кодом. Для представления текстов в компьютере используется алфавит мощностью 256 символов. В таблице кодировки каждому символу алфавита поставлен в соответствие порядковый номер и восьмиразрядный двоичный код. Международным стандартом является код АSСII — американский стандартный код для информационного обмена. Гипертекст — это текст, организованный так, что его можно просматривать в последовательности смысловых связей между его отдельными фрагментами. Такие связи называются гиперсвязями (гиперссылками). Гиперссылка позволяет быстро перейти к просмотру того раздела, на который она указывает. Вопросы и задания 1. В чем преимущества хранения текстов в файлах по сравнению с бумажным способом хранения?
Содержание урока
Если вы хотите увидеть другие корректировки и пожелания к урокам, смотрите здесь - Образовательный форум. |
Авторські права | Privacy Policy |FAQ | Партнери | Контакти | Кейс-уроки
© Автор системы образования 7W и Гипермаркета Знаний - Владимир Спиваковский
При использовании материалов ресурса
ссылка на edufuture.biz обязательна (для интернет ресурсов -
гиперссылка).
edufuture.biz 2008-© Все права защищены.
Сайт edufuture.biz является порталом, в котором не предусмотрены темы политики, наркомании, алкоголизма, курения и других "взрослых" тем.
Ждем Ваши замечания и предложения на email:
По вопросам рекламы и спонсорства пишите на email:











