KNOWLEDGE HYPERMARKET


Тексты в компьютерной памяти

Гипермаркет знаний>>Информатика>>Информатика 8 класс>>Информатика: Тексты в компьютерной памяти


ТЕКСТЫ В КОМПЬЮТЕРНОЙ ПАМЯТИ


ГЛАВА 3

ТЕКСТОВАЯ ИНФОРМАЦИЯ И КОМПЬЮТЕР

Здесь вы узнаете:
• в каком виде тексты хранятся в компьютере;
• что такое текстовый редактор;
• что можно делать с текстами на компьютере.

§ 13. Тексты в компьютерной памяти

Основные темы параграфа:

• преимущества компьютерного документа по сравнению с бумажным;
• как представляются тексты в памяти компьютера;
• что такое гипертекст.

Преимущества компьютерного документа по сравнению с бумажным

А теперь от обсуждения вопроса о том, что представляет собой компьютер, перейдем к ответу на вопрос, что умеет делать компьютер. Начиная с этой главы, мы будем знакомиться с применением ЭВМ.

Первая область применения, которую мы рассмотрим, — работа с текстами. При ручной записи часто неприятную проблему составляет необходимость исправлять ошибки или вносить какие-то изменения в текст. При этом приходится зачеркивать, стирать, заклеивать, что портит вид текста. Необходимость переписывать текст ведет к потере времени и лишнему расходу бумаги.

Имея компьютер, можно создавать тексты, не тратя на это лишнее время и бумагу. Носителем текста становится память ЭВМ. Конечно, для длительного его сохранения это должна быть внешняя память — магнитные или оптические диски.

Текст на внешних носителях сохраняется в виде файла.

Есть ряд преимуществ сохранения текстов в файловой форме на компьютерных носителях по сравнению с бумагой. Во-первых, это компактное размещение. Например, текст толстой книги в 500 страниц помещается на маленькую дискету диаметром 9 см. А если использовать специальные методы сжатия, то размер текста, помещающегося на дискете, можно увеличить в несколько раз.

Во-вторых, если данный текст становится ненужным, то дискету, как бумагу, не надо выбрасывать или сдавать в макулатуру. С нее с помощью компьютера легко стереть этот текст и на его место записать новый.

В-третьих, с помощью компьютера легко скопировать файлы в любом количестве на другие носители.

В-четвертых, файл с текстом можно быстро переслать другому человеку по электронной почте. Для этого ваш компьютер и компьютер адресата должны иметь связь через компьютерную сеть.

Главное неудобство хранения текстов в файлах состоит в том, что прочитать их можно только с помощью компьютера. Человек может просмотреть текст на экране дисплея или напечатать на бумаге, используя принтер.

Уже сейчас имеются некоторые издания, которые не печатаются на бумаге, а хранятся и распространяются в форме файлов. Когда компьютеры станут такими же обычными предметами в каждом доме, как сейчас радио и телевизор, то безбумажных изданий станет еще больше. Представьте себе, что вся ваша личная библиотека разместится в коробке с дисками. Причем по объему информации она будет не меньше, чем сотни книг, собранных родителями. А экономя бумагу, мы сохраняем леса на нашей планете.

Как представляются тексты в памяти компьютера

А теперь «заглянем» в память компьютера и разберемся, как же представлена в нем текстовая информация.

Текстовая информация состоит из символов: букв, цифр, знаков препинания, скобок и других. Мы уже говорили, что множество всех символов, с помощью которых записывается текст, называется алфавитом, а число символов в алфавите — его мощностью.

Для представления текстовой информации в компьютере используется алфавит мощностью 256 символов. Мы знаем, что один символ такого алфавита несет 8 битов информации: 28 = 256. 8 битов = 1 байт, следовательно:

Двоичный код каждого символа в компьютерном тексте занимает 1 байт памяти.

Теперь возникает вопрос, какой именно восьмиразрядный двоичный код поставить в соответствие каждому символу.

Понятно, что это дело условное, можно придумать множество способов кодирования.

Все символы компьютерного алфавита пронумерованы от 0 до 255. Каждому номеру соответствует восьмиразрядный двоичный код от 00000000 до 11111111. Этот код — просто порядковый номер символа в двоичной системе счисления.

Таблица, в которой всем символам компьютерного алфавита поставлены в соответствие порядковые номера, называется таблицей кодировки.

Для разных типов ЭВМ используются различные таблицы кодировки. С распространением персональных компьютеров типа IВМ РС международным стандартом стала таблица кодировки под названием АSCII (American Standart Code for Information Interchange — американский стандартный код для информационного обмена).

Точнее говоря, стандартной в этой таблице является только первая половина, т. е. символы с номерами от нуля (двоичный код 00000000) до 127 (01111111). Сюда входят буквы латинского алфавита, цифры, знаки препинания, скобки и некоторые другие символы. Остальные 128 кодов, начиная с 10000000 и кончая 11111111, используются в разных вариантах. В русских национальных кодировках в этой части таблицы размещаются символы русского алфавита.

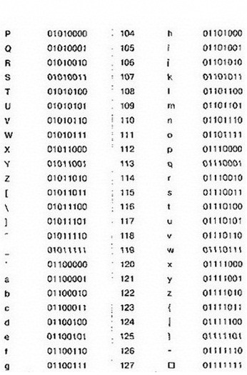
В табл. 3.1 приведена стандартная часть кода АSCII (коды от 0 до 31 имеют особое назначение, не отражаются какими-либо знаками и в данную таблицу не включены). Здесь приведены десятичные номера символов, символы, двоичные коды.

Informatika 8 72.jpg Informatika 8 72.1e.jpg

Обратите внимание на то, что в этой таблице латинские буквы (прописные и строчные) располагаются в алфавитном порядке. Расположение цифр также упорядочено по возрастанию значений. Это правило соблюдается и в других таблицах кодировки и называется принципом последовательного кодирования алфавитов. Благодаря этому понятие «алфавитный порядок» сохраняется и в машинном представлении символьной информации. Для русского алфавита принцип последовательного кодирования соблюдается не всегда.

Запишем, например, внутреннее представление слова «file». В памяти компьютера оно займет 4 байта со следующим содержанием:

01100110 01101001 01101100 01100101.

А теперь попробуйте решить обратную задачу. Какое слово записано следующим двоичным кодом:

01100100 01101001 01110011 01101011?

В табл. 3.2 приведен один из вариантов второй половины кодовой таблицы АSСII, который называется альтернативной кодировкой. Видно, что в ней для букв русского алфавита соблюдается принцип последовательного кодирования.

Informatika 8 73.jpg

Тексты вводятся в память компьютера с помощью клавиатуры. На клавишах написаны привычные нам буквы, цифры, знаки препинания и другие символы. В оперативную память они попадают в форме двоичного кода.

Из памяти компьютера текст может быть выведен на экран или на печать в символьной форме. Но для долговременного хранения его следует записать на внешний носитель в виде файла.

Что такое гипертекст

Наиболее существенное отличие компьютерного текста от бумажного вы почувствуете, если встретитесь с текстом, информация в котором организована по принципу гипертекста.

Гипертекст — это текст, организованный так, что его можно просматривать в последовательности смысловых связей между его отдельными фрагментами. Такие связи называются гиперсвязями (гиперссылками).

Чаще всего по принципу гипертекста организованы компьютерные справочники, энциклопедии, учебники. Такую «книгу» можно читать не только в обычном порядке, «листая страницы» на экране, но и перемещаясь по смысловым связям в произвольном порядке. Например, при изучении на уроке физики темы «Второй закон Ньютона» с помощью компьютерного учебника ученик прочитал определение закона «Сила равна произведению массы на ускорение».

Ему захотелось вспомнить определение массы. Указав в тексте на слово «масса» (связанные понятия обычно выделяются цветом или подчеркиванием, а указывать на них удобно с помощью мыши), он быстро перейдет к разделу учебника, где рассказывается о массе тел. Прочитав определение «Масса — мера инертности тела», ученик может пожелать уточнить, что такое инертность. По гиперссылке он быстро выйдет на нужный раздел.

После такой экскурсии вглубь материала ученик может вернуться в исходную точку, щелкнув мышью по кнопке «Назад», так как система запоминает весь маршрут продвижения по гиперссылкам.

Коротко о главном

С помощью компьютера можно создавать текстовые документы и хранить их на носителях внешней памяти в виде файлов.

Преимущества файлового хранения текстов: возможность редактирования, быстрого копирования на другие носители; возможность передачи текста по линиям компьютерной связи.

Каждый символ текста кодируется восьмиразрядным двоичным кодом. Для представления текстов в компьютере используется алфавит мощностью 256 символов.

В таблице кодировки каждому символу алфавита поставлен в соответствие порядковый номер и восьмиразрядный двоичный код. Международным стандартом является код АSСII — американский стандартный код для информационного обмена.

Гипертекст — это текст, организованный так, что его можно просматривать в последовательности смысловых связей между его отдельными фрагментами. Такие связи называются гиперсвязями (гиперссылками). Гиперссылка позволяет быстро перейти к просмотру того раздела, на который она указывает.

Вопросы и задания

1. В чем преимущества хранения текстов в файлах по сравнению с бумажным способом хранения?
2. Что такое гипертекст? Какие возможности предоставляет гипертекст пользователю?
3. Каков размер алфавита, используемого в компьютерах для представления текстов?
4. Сколько места в памяти занимает код одного символа?
5. Что такое таблица кодировки? Как называется таблица кодировки, используемая в большинстве современных персональных компьютеров?
6. Закодируйте в двоичной форме свою фамилию, записанную латинскими буквами, используя табл. 3.1.
7. Познакомьтесь с альтернативной частью кода АSCII, используемой в школьных компьютерах. Выясните, соблюдается ли принцип последовательного кодирования алфавита из русских букв (их называют кириллицей).
8. Закодируйте короткую фразу на русском языке. Обменяйтесь полученными кодами с соседом по парте и декодируйте тексты друг друга.

И. Семакин, Л. Залогова, С. Русаков, Л. Шестакова, Информатика, 8 класс
Отослано читателями из интернет-сайтов


Вся информатика онлайн, список тем по предметам, сборник конспектов по информатике, домашняя работа, вопросы и ответы, рефераты по информатике 8 класс, планы уроков


Содержание урока
1236084776 kr.jpg конспект урока                       
1236084776 kr.jpg опорный каркас  
1236084776 kr.jpg презентация урока
1236084776 kr.jpg акселеративные методы 
1236084776 kr.jpg интерактивные технологии 

Практика
1236084776 kr.jpg задачи и упражнения 
1236084776 kr.jpg самопроверка
1236084776 kr.jpg практикумы, тренинги, кейсы, квесты
1236084776 kr.jpg домашние задания
1236084776 kr.jpg дискуссионные вопросы
1236084776 kr.jpg риторические вопросы от учеников
 
Иллюстрации
1236084776 kr.jpg аудио-, видеоклипы и мультимедиа 
1236084776 kr.jpg фотографии, картинки 
1236084776 kr.jpg графики, таблицы, схемы
1236084776 kr.jpg юмор, анекдоты, приколы, комиксы
1236084776 kr.jpg притчи, поговорки, кроссворды, цитаты

Дополнения
1236084776 kr.jpg рефераты
1236084776 kr.jpg статьи 
1236084776 kr.jpg фишки для любознательных 
1236084776 kr.jpg шпаргалки 
1236084776 kr.jpg учебники основные и дополнительные
1236084776 kr.jpg словарь терминов                          
1236084776 kr.jpg прочие 

Совершенствование учебников и уроков
1236084776 kr.jpg исправление ошибок в учебнике
1236084776 kr.jpg обновление фрагмента в учебнике 
1236084776 kr.jpg элементы новаторства на уроке 
1236084776 kr.jpg замена устаревших знаний новыми 
 
Только для учителей
1236084776 kr.jpg идеальные уроки 
1236084776 kr.jpg календарный план на год  
1236084776 kr.jpg методические рекомендации  
1236084776 kr.jpg программы
1236084776 kr.jpg обсуждения


Интегрированные уроки



Если у вас есть исправления или предложения к данному уроку, напишите нам.

Если вы хотите увидеть другие корректировки и пожелания к урокам, смотрите здесь - Образовательный форум.